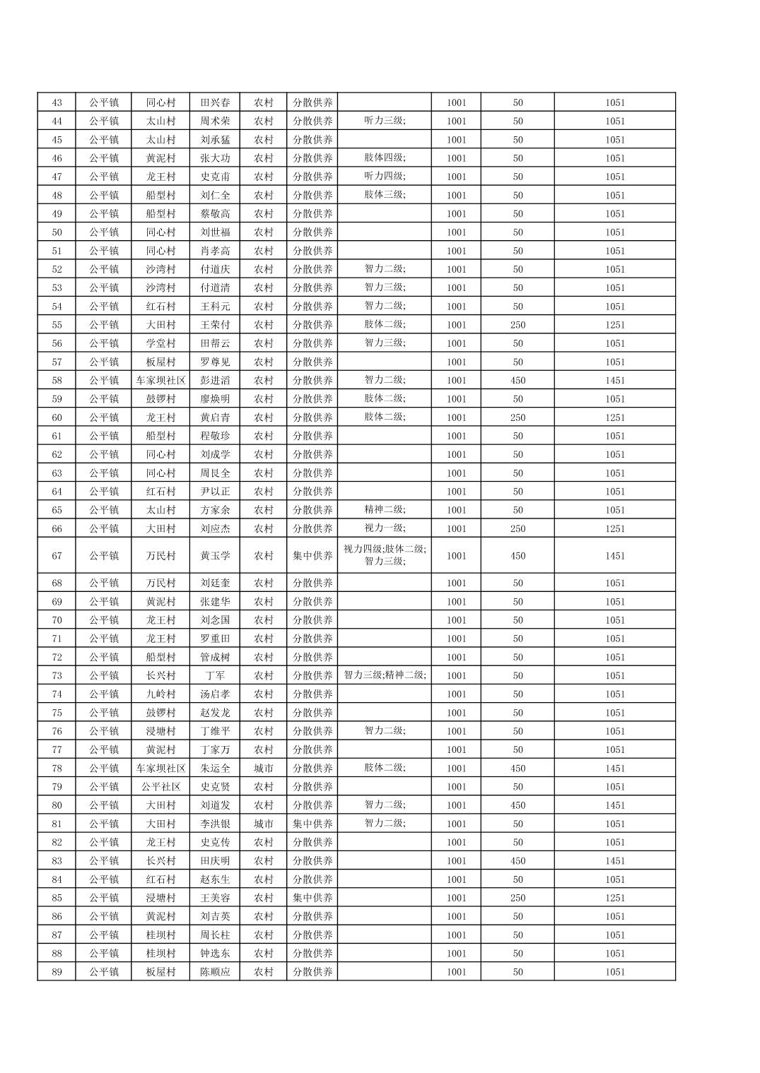
2025年奉节县公平镇城乡特困人员12月基本生活补贴发放花名册
日期:2025-12-09


扫一扫在手机打开当前页